In a previous post we provided a brief primer on some of the mechanics of US Treasury (UST) auctions. We begain with a quick refresher on the basic types of securities (show in Table 1) auctioned and issued by UST.
| Security | Tenors | Description |
|---|---|---|
| Bills | 4 to 52 weeks | sold at a discount and redeemed at par |
| Notes | 2, 3, 5, 7, 10 years | pay a fixed rate of interest 2X per year |
| Bonds | 20, 30 years | pay a fixed rate of interest 2X per year |
| CMB | less than 1 year | cash management bills for short-term financing |
| TIPS | 5, 10, 30 years | pay a fixed rate on a principal indexed to CPI |
| FRN | 2 years | pay a variable rate of interest 4X per year |
In this post we will only be considering Bills since today's auction (for a schedule refer to this link) only offers 4- and 8-Week Bills.
In the last post we touched on the Bid-to-Cover (BTC) ratio which is a statistic that compares the total dollar amount of bids over the dollar amount of bonds sold. A BTC of 1 implies that supply (in the form of the dollar amount UST hopes to raise) was exactly matched by demand (the bids sought by auction participants). Healthier auctions should have BTC a far above 1 as possible.
Figure 1 shows the time-series of BTC for Bills, Notes, and Bonds from 2001 to the present.

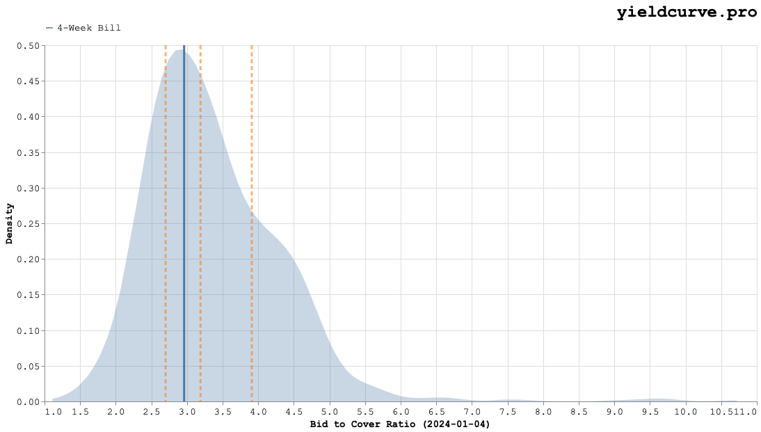
Let's examine the distribution density diagram (DDD) for the 2 tenors up for auction today. For the 4- and 8-Week Bills these are shown by Figures 2 and 3.

The mean and interquartile ranges on the DDD are indicated with the vertical orange dashed lines. The left- and right-most lines indicate the 25-th and 75-th percentiles, respectively. The middle line corresponds to the median.
For the the 4-Week Bill, BTC seems to fall close to the mode of the distribution and comfortably between the median and 25-th percentile and median.

The the 8-Week Bill BTC is well below both the mode and median yet greater than the 25-th percentile. For both tenors it appears that the most recent auctions were below historical expectations. This suggest auction health has deteriorated recently. We will be keeping a close eye on today's auctions and assessing where they fall in either tenors' DDD.
Sign in to leave a comment.
Comments (0)