Yesterday we considered the US Treasury (UST) auction of 4-Week (CUSIP 912797JD0) and 8-Week (CUSIP 912797JH1) Bills. How did they turn out?
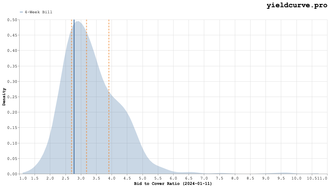
Figures 1 and 2 show the distribution density diagram (DDD) for the 2 tenors with the respective bid-to-cover (BTC) ratios superimposed on the interquartle ranges.

The 4-Week auction was under-subscribed relative to history since the BTC landed just above the 25-th percentile.

The 8-Week auction was more or less inline with historical expectations.
Sign in to leave a comment.
Comments (0)